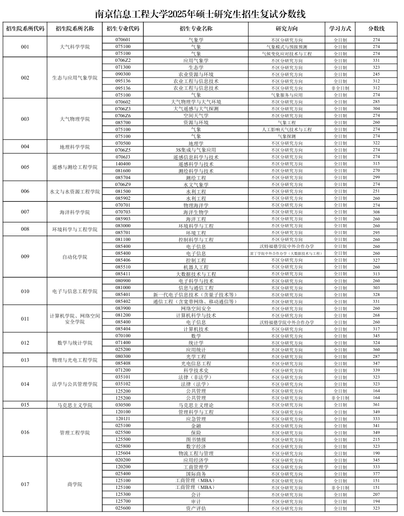
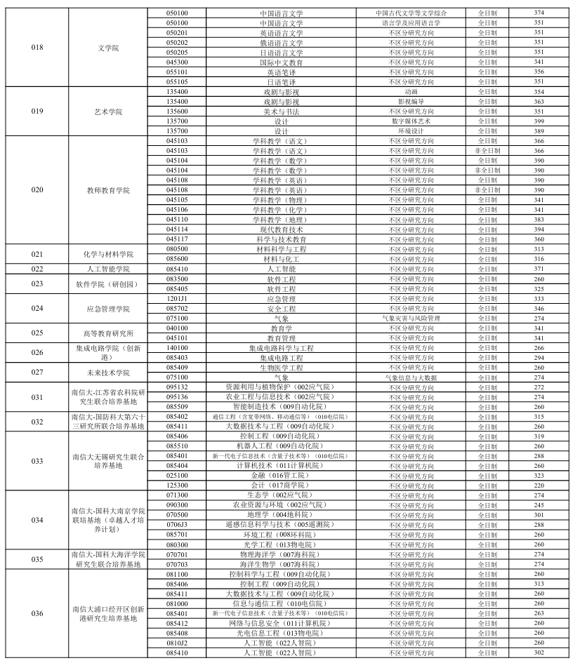
在2026研究生考试中,南京信息工程大学是很多考生的选择。南京信息工程大学是国家"双一流"建设高校,为了帮助大家了解南京信息工程大学2026年考研分数线是多少,本文整理了南京信息工程大学2026考研分数线一览表,文中也包含了2025年各专业复试线,希望可以帮助到大家。![]() 2026年南京信息工程大学考研分数线 南京信息工程大学2026考研分数线目前还在等待官方发布,需要一些时间,为了帮助大家提前评估,小编特别整理了2025年南京信息工程大学研究生考试分数线,内容如下: 2025年南京信息工程大学研究生考试分数线 ![]() ![]() 南京信息工程大学2026考研热门专业 2026年南京信息工程大学考研的热门专业主要包括:大气科学、应用气象学、气象技术与工程、计算机科学与技术、信息安全、网络空间安全、环境工程等。 2026年南京信息工程大学考研信息查询网址 南京信息工程大学研究生招生信息网:https://yzb.nuist.edu.cn/ |





