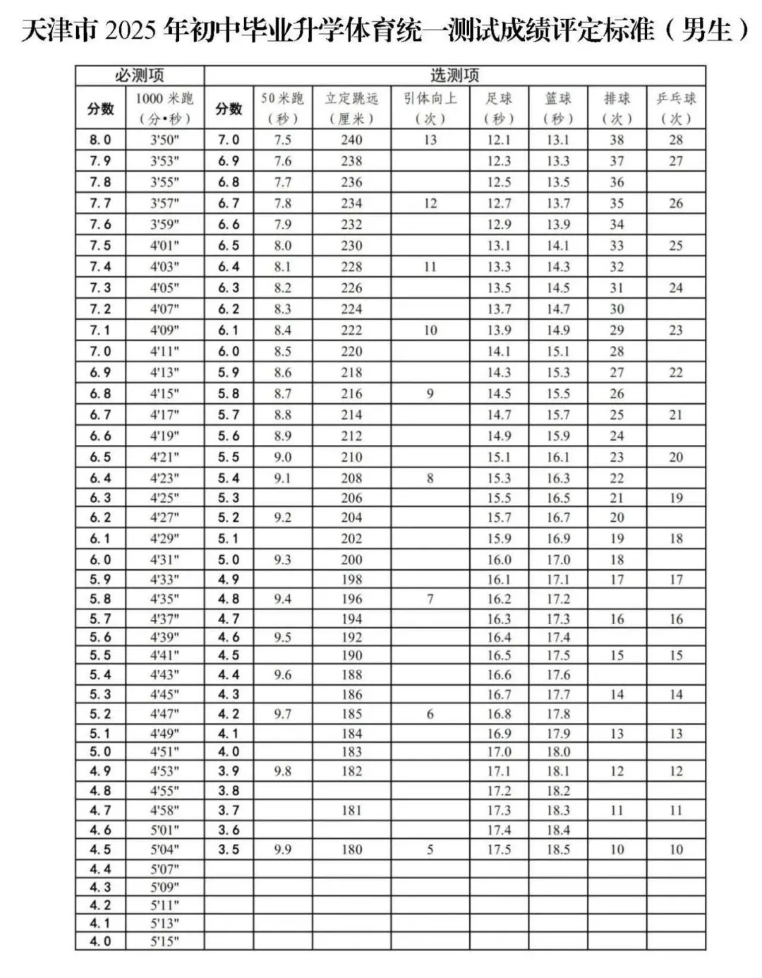
2026年天津中考中招体育与健康考试预计于4月中旬开始。为了让天津考生了解到各地中考体育的考试时间,下面小编为大家整理了2026年天津中考体育考试时间安排表,希望可以帮助到大家。![]() 2026年天津中考体育考试时间 2026天津中考体育考试时间预计在4月中旬举行。 2026年天津中考体育考试项目 体育与健康分值为40分,包括平时成绩18分、统一测试成绩22分(中考体测)。 平时成绩满分18分,由体育课考评成绩(满分7.5分)、每天一小时阳光体育活动成绩(满分2.5分)、学生体质健康达标成绩(满分8分)三部分构成。 统一测试成绩满分22分,分为必测一项和选测二项,共计三项,内容和分值如下: ![]() 天津体育中考评分标准 ![]() ![]() |






