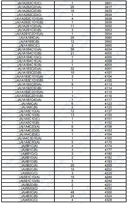
中考分数线一直都是考生和家长关注的焦点,那么,2025年桂林中考分数线有何新变化?是升是降?下面整理的2025年桂林中考各高中录取分数线一览表为您揭晓谜底,希望可以帮助到大家。![]() 2025年桂林中考录取分数线一览表 待2025年桂林中考结束后,各高中录取分数线会陆续公布,大家在等待分数线的同时,可以了解一下2024年桂林中考录取分数线,以便更好地了解中考分数线的变化和原因。 2024年桂林中考分数线 ![]() ![]() ![]() ![]() ![]() ![]() 中考如何快速提分? 一、精准定位薄弱环节 可以通过做模拟题、回顾平时作业中的错题等方式,找出自己在哪些方面存在不足。针对这些薄弱点进行专项训练,集中攻克难题。 二、高效利用碎片时间 合理安排学习时间,充分利用碎片化时间也是提高效率的好方法。比如,在上学路上可以听英语听力材料,课间休息时可以背诵几个单词或公式。这样不仅提高了时间利用率,还能让大脑保持持续的学习状态。 三、掌握应试技巧 除了扎实的知识基础,掌握一定的应试技巧也能帮助你更快地提分。比如,在考试中先做自己擅长的题目,确保拿到基础分数;对于不确定的题目,先标记出来,最后再回头仔细思考。 2025年桂林中考各高中录取分数线一览表就为大家介绍到这里,更多关于2025年中考成绩查询、高中录取分数线、中考满分作文等内容,请点击访问:2025中考栏目。 |









