学习力在线学习网

当前位置:首页 > 高考 >

2025辽宁高考一分一段表(物理类)_位次排名查询

2025-06-24 20:16 毕成
  高考一分一段表是查询高考位次排名的重要依据,也是填报高考志愿的重要工具之一,下面为大家准备了2025年辽宁高考物理类一分一段表,通过一分一段表,大家就能知道自己在全辽宁的排名是多少,同时也能知道考生大部分集中在哪一个分数段,希望可以帮助到大家。

2025辽宁高考一分一段表(物理类),位次排名查询

  2025辽宁高考一分一段表(物理类)

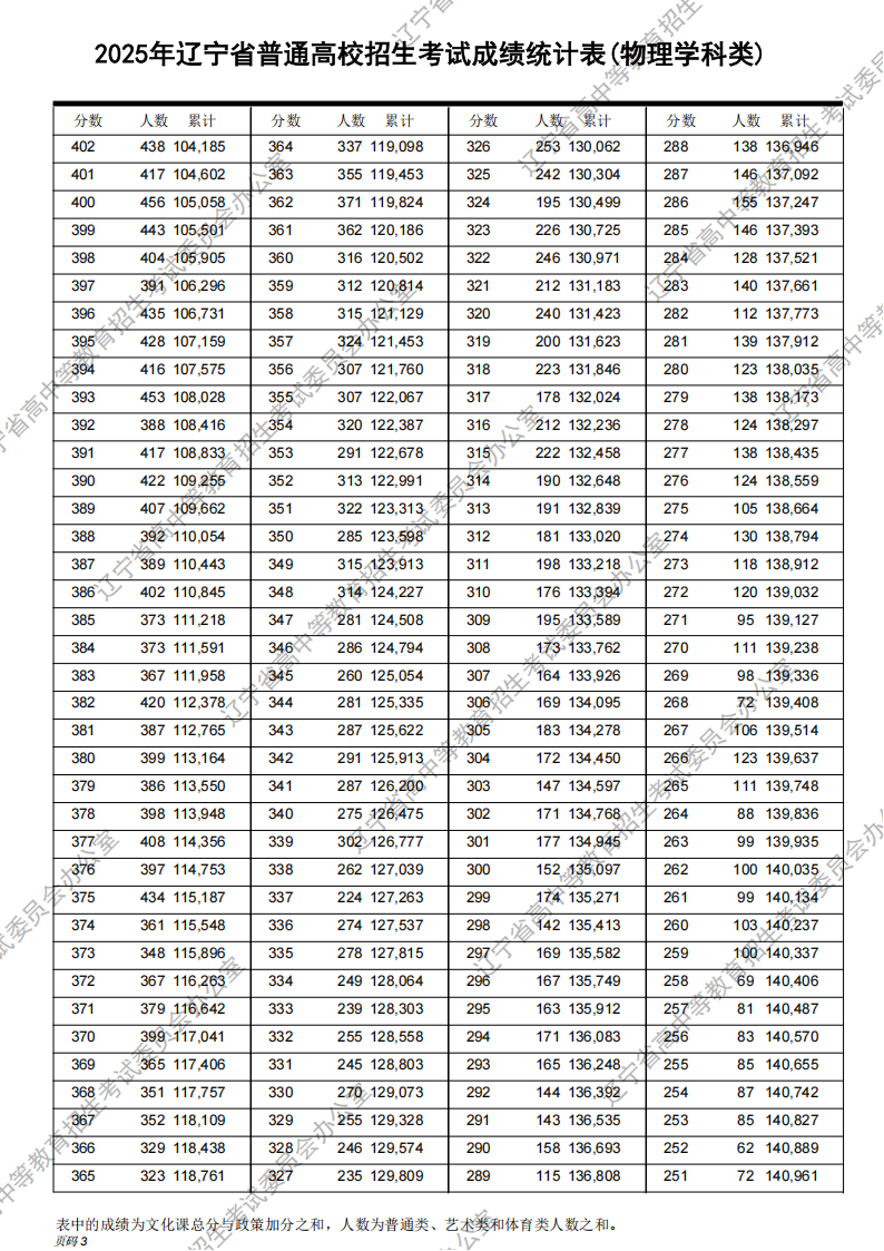
2025辽宁高考物理类一分一段表
2025年辽宁高考一分一段表

2025年辽宁高考一分一段表

2025年辽宁高考一分一段表

2025年辽宁高考一分一段表

  点击查看>>>2025年辽宁高考分数线

  2025年辽宁高考分数线

  特招分数线:历史类510分、物理类510分。

  本科分数线:历史类400分、物理类368分;

  专科分数线:历史类150分、物理类150分;

  2025辽宁高考成绩查询入口

  查询入口:辽宁招生考试之窗网站

  查询网址:https://www.lnzsks.com

  2025年辽宁高考相关:

一分一段表 高考查分时间 成绩查询入口
模拟填报系统 高考几套试卷 录取分数线汇总

  2025年辽宁高考物理类一分一段表就为大家介绍到这里,想了解2025年辽宁高考志愿填报、高考录取结果查询、高考倒计时等内容,请点击访问:高考栏目。

热点排行

关于我们| 联系我们 | 网站地图| 热门标签| 排版工具| 手机版

Copyright © 2026 All Rights Reserved. 苏ICP备15058837号-4

我们一直用心在做