学习力在线学习网

当前位置:首页 > 高考 >

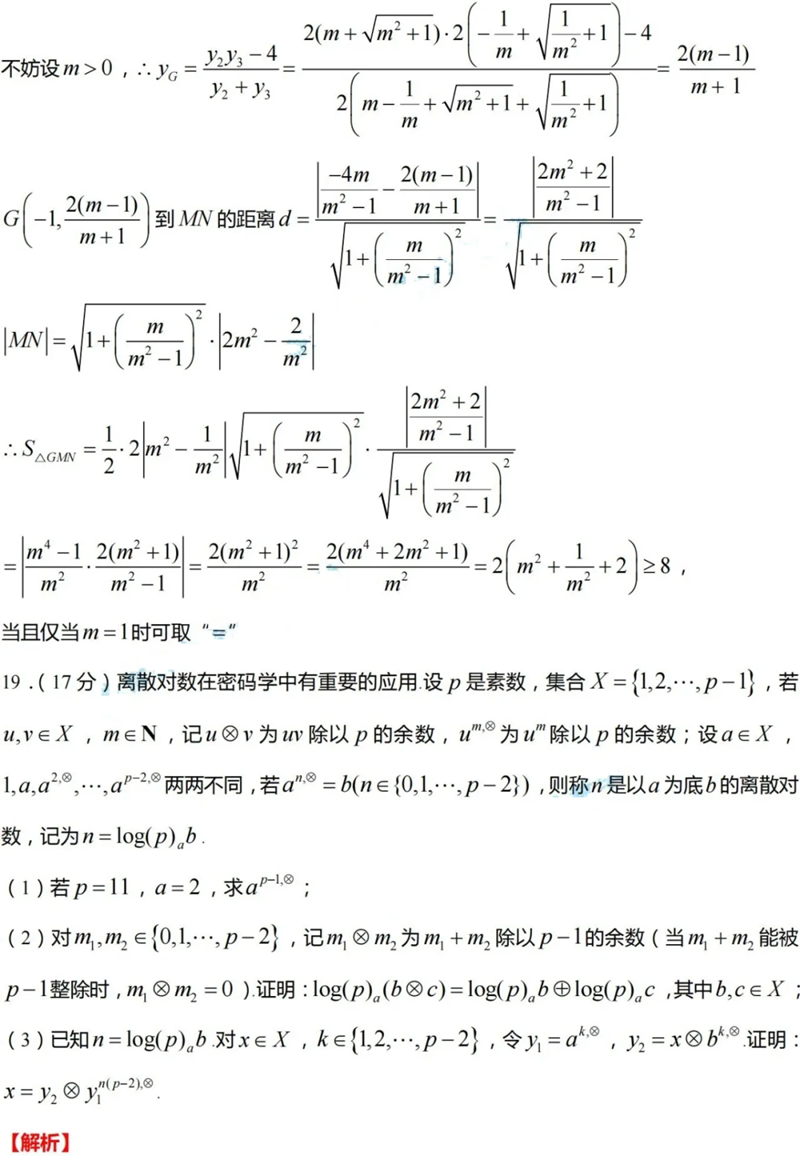
2024年七省联考数学试卷及答案解析(13)

2023-12-07 14:11 毕成

2024年七省联考数学试卷及答案解析

热点排行

关于我们| 联系我们 | 网站地图| 热门标签| 排版工具| 手机版

Copyright © 2026 All Rights Reserved. 苏ICP备15058837号-4

我们一直用心在做